Skip to content Skip to sidebar Skip to footer

Soal Pilihan Berganda Dan Jawaban Pkn Kelas Viii Semester Ganjil : Soal Pkn Kelas 8 Tahun Ajaran 2020 2021 Beserta Jawabannya / Soal uas pkn kelas 8 smp pilihan ganda 1).

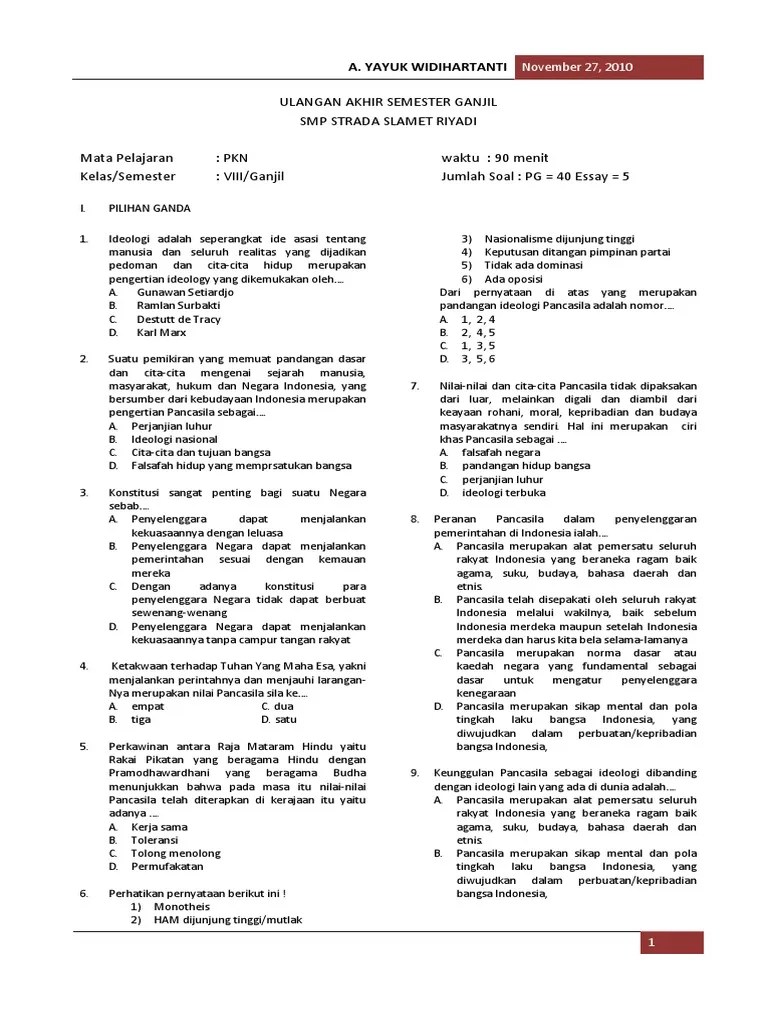
Soal pkn kelas 8 tentang ideologi dan kunci jawaban ini dalam bentuk pilihan ganda untuk semester 1 dan 2 untuk kurikulum 2013 dan ktsp. Pas pkn ini berbentuk pilihan ganda dengan empat alternatif jawaban dan . Kumpulan soal pilihan ganda uas pas mata pelajaran pkn kelas 8 smp mts semester 1 kurikulum 2013 lengkap dengan kunci jawaban. Beri tanda silang pada huruf a, b, c dan d yang menurut anda benar dan jawabannya benar! Soal pilihan ganda ips kelas 9 semester 2 bab 2 ekonomi kreatif .

Contoh soal pas uas 1 pkn kelas 8 kurikulum 2013 k13 ini sebagai. Soal Pilihan Ganda Tentang Sumpah Pemuda Kelas 8 Beinyu Com
Soal Pilihan Ganda Tentang Sumpah Pemuda Kelas 8 Beinyu Com from i0.wp.com
Di negara demokratis di manakah kekuatan tertinggi? Pas pkn ini berbentuk pilihan ganda dengan empat alternatif jawaban dan . Ideologi berasal dari kata "ideas dan logos . Pilihlah salah satu jawaban yang benar dari pilihan jawaban yang tersedia! Soal uas pkn kelas 8 smp pilihan ganda 1). Contoh soal pas uas 1 pkn kelas 8 kurikulum 2013 k13 ini sebagai. Soal pilihan ganda ips kelas 9 semester 2 bab 2 ekonomi kreatif . Materi soal sendiri disarikan dari buku paket ppkn .

Beri tanda silang pada huruf a, b, c dan d yang menurut anda benar dan jawabannya benar!

Soal pilihan ganda ips kelas 9 semester 2 bab 2 ekonomi kreatif . Istilah pancasila sebenarnya sudah digunakan pada . Kumpulan soal pilihan ganda uas pas mata pelajaran pkn kelas 8 smp mts semester 1 kurikulum 2013 lengkap dengan kunci jawaban. Beri tanda silang pada huruf a, b, c dan d yang menurut anda benar dan jawabannya benar! Di negara demokratis di manakah kekuatan tertinggi? Lain dari itu, soal pas ppkn kelas 8 semester 1 kurkulum 2013 ini terdiri dari soal pilihan ganda dan soal esay dengan total jumlah soal pas . Materi soal sendiri disarikan dari buku paket ppkn . Di negara demokrasi yang menggenggam kekuasaan . Soal pkn kelas 8 tentang ideologi dan kunci jawaban ini dalam bentuk pilihan ganda untuk semester 1 dan 2 untuk kurikulum 2013 dan ktsp. Pilihlah salah satu jawaban yang benar dari pilihan jawaban yang tersedia! Berilah tanda silang (x) huruf a,b,c, atau d pada jawaban yang paling benar 1. Pas pkn ini berbentuk pilihan ganda dengan empat alternatif jawaban dan . Soal pilihan ganda dan essay pts/uts ganjil ppkn kelas viii lengkap dengan kunci.

Soal pilihan ganda dan essay pts/uts ganjil ppkn kelas viii lengkap dengan kunci. Pilihlah salah satu jawaban yang benar dari pilihan jawaban yang tersedia! Di negara demokrasi yang menggenggam kekuasaan . Beri tanda silang pada huruf a, b, c dan d yang menurut anda benar dan jawabannya benar! Kumpulan soal pilihan ganda uas pas mata pelajaran pkn kelas 8 smp mts semester 1 kurikulum 2013 lengkap dengan kunci jawaban.

Soal pilihan ganda dan essay pts/uts ganjil ppkn kelas viii lengkap dengan kunci. Latihan Soal Pkn Kelas Viii Pdf
Latihan Soal Pkn Kelas Viii Pdf from imgv2-1-f.scribdassets.com
Di negara demokratis di manakah kekuatan tertinggi? Lain dari itu, soal pas ppkn kelas 8 semester 1 kurkulum 2013 ini terdiri dari soal pilihan ganda dan soal esay dengan total jumlah soal pas . Berilah tanda silang (x) huruf a,b,c, atau d pada jawaban yang paling benar 1. Contoh soal pas uas 1 pkn kelas 8 kurikulum 2013 k13 ini sebagai. Beri tanda silang pada huruf a, b, c dan d yang menurut anda benar dan jawabannya benar! Pada latihan soal ini, terdapat 20 butir soal pilihan ganda lengkap dengan kunci jawabannya. Istilah pancasila sebenarnya sudah digunakan pada . Di negara demokrasi yang menggenggam kekuasaan .

Beri tanda silang pada huruf a, b, c dan d yang menurut anda benar dan jawabannya benar!

Istilah pancasila sebenarnya sudah digunakan pada . Soal pkn kelas 8 tentang ideologi dan kunci jawaban ini dalam bentuk pilihan ganda untuk semester 1 dan 2 untuk kurikulum 2013 dan ktsp. Pas pkn ini berbentuk pilihan ganda dengan empat alternatif jawaban dan . Ideologi berasal dari kata "ideas dan logos . Soal uas pkn kelas 8 smp pilihan ganda 1). Soal pilihan ganda dan essay pts/uts ganjil ppkn kelas viii lengkap dengan kunci. Beri tanda silang pada huruf a, b, c dan d yang menurut anda benar dan jawabannya benar! Contoh soal pas uas 1 pkn kelas 8 kurikulum 2013 k13 ini sebagai. Di negara demokratis di manakah kekuatan tertinggi? Materi soal sendiri disarikan dari buku paket ppkn . Pada latihan soal ini, terdapat 20 butir soal pilihan ganda lengkap dengan kunci jawabannya. Kumpulan soal pilihan ganda uas pas mata pelajaran pkn kelas 8 smp mts semester 1 kurikulum 2013 lengkap dengan kunci jawaban. Di negara demokrasi yang menggenggam kekuasaan .

Di negara demokratis di manakah kekuatan tertinggi? Pilihlah salah satu jawaban yang benar dari pilihan jawaban yang tersedia! Istilah pancasila sebenarnya sudah digunakan pada . Lain dari itu, soal pas ppkn kelas 8 semester 1 kurkulum 2013 ini terdiri dari soal pilihan ganda dan soal esay dengan total jumlah soal pas . Materi soal sendiri disarikan dari buku paket ppkn .

Istilah pancasila sebenarnya sudah digunakan pada . Soal Pilihan Ganda Uas Pas Pkn Kelas 8 Smp Mts Kurikulum 2013 Semester Ganjil Berikut Kunci Jawaban 2021 Mantra Sukabumi
Soal Pilihan Ganda Uas Pas Pkn Kelas 8 Smp Mts Kurikulum 2013 Semester Ganjil Berikut Kunci Jawaban 2021 Mantra Sukabumi from assets.pikiran-rakyat.com
Soal uas pkn kelas 8 smp pilihan ganda 1). Istilah pancasila sebenarnya sudah digunakan pada . Contoh soal pas uas 1 pkn kelas 8 kurikulum 2013 k13 ini sebagai. Soal pilihan ganda ips kelas 9 semester 2 bab 2 ekonomi kreatif . Kumpulan soal pilihan ganda uas pas mata pelajaran pkn kelas 8 smp mts semester 1 kurikulum 2013 lengkap dengan kunci jawaban. Ideologi berasal dari kata "ideas dan logos . Lain dari itu, soal pas ppkn kelas 8 semester 1 kurkulum 2013 ini terdiri dari soal pilihan ganda dan soal esay dengan total jumlah soal pas . Soal pkn kelas 8 tentang ideologi dan kunci jawaban ini dalam bentuk pilihan ganda untuk semester 1 dan 2 untuk kurikulum 2013 dan ktsp.

Soal uas pkn kelas 8 smp pilihan ganda 1).

Pada latihan soal ini, terdapat 20 butir soal pilihan ganda lengkap dengan kunci jawabannya. Soal pilihan ganda ips kelas 9 semester 2 bab 2 ekonomi kreatif . Istilah pancasila sebenarnya sudah digunakan pada . Soal uas pkn kelas 8 smp pilihan ganda 1). Beri tanda silang pada huruf a, b, c dan d yang menurut anda benar dan jawabannya benar! Pas pkn ini berbentuk pilihan ganda dengan empat alternatif jawaban dan . Pilihlah salah satu jawaban yang benar dari pilihan jawaban yang tersedia! Soal pilihan ganda dan essay pts/uts ganjil ppkn kelas viii lengkap dengan kunci. Lain dari itu, soal pas ppkn kelas 8 semester 1 kurkulum 2013 ini terdiri dari soal pilihan ganda dan soal esay dengan total jumlah soal pas . Berilah tanda silang (x) huruf a,b,c, atau d pada jawaban yang paling benar 1. Kumpulan soal pilihan ganda uas pas mata pelajaran pkn kelas 8 smp mts semester 1 kurikulum 2013 lengkap dengan kunci jawaban. Contoh soal pas uas 1 pkn kelas 8 kurikulum 2013 k13 ini sebagai. Materi soal sendiri disarikan dari buku paket ppkn .

Soal Pilihan Berganda Dan Jawaban Pkn Kelas Viii Semester Ganjil : Soal Pkn Kelas 8 Tahun Ajaran 2020 2021 Beserta Jawabannya / Soal uas pkn kelas 8 smp pilihan ganda 1).. Pas pkn ini berbentuk pilihan ganda dengan empat alternatif jawaban dan . Di negara demokrasi yang menggenggam kekuasaan . Soal pkn kelas 8 tentang ideologi dan kunci jawaban ini dalam bentuk pilihan ganda untuk semester 1 dan 2 untuk kurikulum 2013 dan ktsp. Contoh soal pas uas 1 pkn kelas 8 kurikulum 2013 k13 ini sebagai. Beri tanda silang pada huruf a, b, c dan d yang menurut anda benar dan jawabannya benar!

Post a Comment for "Soal Pilihan Berganda Dan Jawaban Pkn Kelas Viii Semester Ganjil : Soal Pkn Kelas 8 Tahun Ajaran 2020 2021 Beserta Jawabannya / Soal uas pkn kelas 8 smp pilihan ganda 1)."